MOST has written repeatedly about the head of the Kherson City Council’s Health Department, Viktoriya Khmilevska. We even reported that she was to be dismissed from the post, but the official, involved in scandalous stories, remains in office.
According to our sources in the Kherson MVA, Yaroslav Shanko has long wanted to dismiss her, but does not want to do so without sufficient legal grounds, since Khmilevska would be reinstated one hundred percent, which would be a reputational blow for the city’s leader.
Perhaps that is why he appointed an unscheduled audit in the Kherson City Council’s Health Department, which is being conducted from September 18 to November 6.
Who is Khmilevska and why is everything allowed for her?
Another reason, not reputational but quite real, is that Viktoriya Khmilevska’s deputies are from the Security Service of Ukraine. It was previously believed that Khmilevska’s main deputy was MP Viktoriya Vagner, who helped her climb the career ladder, but MOST found out that this is not the case.
Vagner did indeed give Khmilevska a start, bringing her by the hand into the Kherson branch of the “Servant of the People” party under her quota. Viktoriya was even made the party organization’s accountant. But then the relations between the MP and Viktoriya Khmilevska soured, and Vagner no longer helps her.
Nevertheless, someone assisted Viktoriya Khmilevska, and in 2022, just before the invasion, Ihor Kolykhaiev appointed her director of the city dental clinic. And after leaving occupied Kherson she was appointed deputy head of the Hostomel Military Administration. There she launched activities in full and pulled Kherson residents into work. Alexey Voytenko, Vladyslav Kondratov and a number of other people from Kherson managed to work there. For a while Mikhail Lynetsky was even noticed there.
At the same time, in Kherson Khmilevska’s protégés headed the dental clinic re-registered under Russian laws. And after the liberation of Kherson the SBU had no questions for either of the collaborators. Moreover, one of them threatened a MOST correspondent with the prosecutor’s office when asked about working for the Russians.
All this points to some serious deputy. And most likely, the SBU version is the most plausible.
Khmilevska’s talents and connections were needed by Roman Mrochok as well, who appointed her head of the department.
In this position she faithfully carried out all his and Vadym Hlushko’s wishes.
The new authorities and Khmilevska’s fate
Viktoriya Khmilevska had and has no chance of remaining in the post. First, Yaroslav Shanko is methodically cleaning out all of Mrochok’s people, not wanting to be associated with the latter’s corruption nest.
And secondly, Shanko’s deputy became Alla Malytska, who is unlikely to forgive Khmilevska for years of abuse.
It was Khmilevska, according to our sources in the MVA, who was one of the instigators who persuaded Roman Mrochok to dismiss Malytska. The other was Vadym Hlushko.
Moreover, Khmilevska caused pain to the current deputy head of the MVA by constantly interfering in the activities of the Karabelesh city hospital, which Alla Malytska had recently headed. Furthermore, Khmilevska interfered with and continues to interfere with the work of Malytska’s husband, who rents premises in his wife’s hospital and has a private dental office there.
Add to this that Alla Malytska’s authority in the Kherson MVA is very high, because even Yaroslav Shanko and Oleksandr Prokudin persuaded her to take the deputy position.
Khmilevska has few chances. And if you add the facts we found through our sources, one can say that her situation is bad.
Family business
Viktoriya’s husband, Serhiy Khmilevskyi, entered the dental services market back when the dental clinic was headed by Valeriy Fuchko, and Khmilevska worked there as a modest bookkeeper. Her patron at the time was the director of the Budget and Finance Department, Roman Pidperyhora, who received a monthly percentage from the municipal institution’s activities.
In January 2016 Serhiy Khmilevskyi founded and headed LLC “Denta Trade Group”. The company then purchased an abandoned municipal pharmacy and set up production facilities there. They produced prosthetic goods which were sold to the municipal dental clinic.
This is a fairly profitable business, judging by the fact that the lights are on in its office even now. However, this business did not prevent Serhiy Khmilevskyi from finding another job.

The new director of the dental clinic, Yehven Hnilytskyi, who was appointed on Viktoriya Khmilevska’s recommendation, employed Serhiy Khmilevskyi and he may still work there. As a modest auxiliary worker in the treatment department. With a modest salary of 8,000 hryvnias, but with a significant bonus. As malicious tongues at the medical facility say, this position fully gives the right to receive an exemption from mobilization.
But Yehven Hnilytskyi was engaged in hiring not only Khmilevska’s husband.
When he headed the Kherson City Perinatal Center named after Klymenko, Daria Khmilevska — Serhiy and Viktoriya’s daughter — began to work there. On December 20, 2024 she was hired as a medical registrar.
What the twenty-year-old student Daria registers while working full-time in a city where there are six births per month, we do not know.
However, we know that on her working days she accompanied her mother on foreign trips several times. Which Viktoriya Khmilevska, by the way, was not given permission for.
According to our data, Daria Khmilevska left the country through the Krakivets checkpoint on June 1, 2025, and returned on June 15. Along with her, in one minibus with Mykolaiv plates, her mother also departed and returned.
Viktoriya Khmilevska published a post about this only a month later, on July 20, when questions arose from the leadership.

The post contains a photo with her daughter.

And during this period, according to the timesheet, medical registrar Daria Khmilevska dutifully received a salary, and she had marks recorded for being at work.

It is interesting how the Health Department viewed this?
Old affairs
On the internet, certain excitable Kherson bloggers launched an entire information campaign in the summer to whitewash Viktoriya Khmilevska. We will not say on what terms this campaign was carried out, because we do not know.
But the main question that Khmilevska’s defenders put to her critics was: “Are there any proofs of corruption or other offenses?”
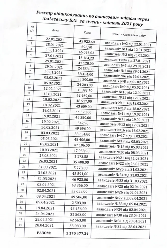
Let auditors look for evidence of her activities in the post. We, however, found documents that prove that in 2021 Viktoriya Khmilevska “siphoned off” hundreds of thousands of hryvnias from the municipal dental clinic.
As early as November 1, 2018, the Kherson City Dental Clinic entered into contract No.218А15000180 with its bookkeeper, under which it paid her money from the special fund according to advance statements.
Unfortunately we only have records for several months in 2021, when the contract was still in effect, and Viktoriya Khmilevska received over a million hryvnias to her personal card.

We even obtained bank statements that confirm Khmilevska received the money.
And KNP documents.




Apparently, it was arranged in such a way that Khmilevska purchased equipment and materials at her own expense, and the hospital reimbursed her costs.
How much was purchased and by whom in this way then, nobody will say now.
It is obvious that Viktoriya Khmilevska will call this material commissioned. But aside from our conjectures, there are documents here that provide many answers. Although we still have questions for the current head.

